Université de Lille logo Laboratoire CRIStAL logo Centrale Lille logo CNRS logo

Assisting Western Popular Music Guitar Practice and Tablature Composition with Machine Learning


Alexandre D'Hooge - October 9th 2025



Gérard Assayag Directeur de Recherche IRCAM Rapporteur
Romain Michon Chargé de Recherche (HDR) INRIA Lyon Rapporteur
Rémi Bardenet Directeur de Recherche CNRS Président du Jury
Isabel Barbancho Professeure des Universités Universidad de Málaga Examinatrice
Dorien Herremans Professeure Associée Singapore University of Technology and Design Examinatrice
Louis Bigo Professeur des Universités Bordeaux INP Co-Directeur
Mathieu Giraud Directeur de Recherche CNRS Co-Directeur
Ken Déguernel Chargé de Recherche CNRS Co-Encadrant

Context

TODO
Hot for Teacher by Van Halen.
Transcription and Performance: Mr. Tabs.

Context

TODO
ANR TABASCO Project
  • Louis Bigo
    Louis Bigo
  • Baptiste Bacot
    Baptiste Bacot
  • Louis Couturier
    Louis Couturier
  • Ken Déguernel
    Ken Déguernel
  • Léo Dupouey
    Léo Dupouey
  • Mathieu Giraud
    Mathieu Giraud
  • Benoît Navarret
    Benoît Navarret
ML icon by Eucalyp
TODO TODO

Introduction

“Assisting Western Popular Music Guitar Practice and Tablature Composition with Machine Learning”

  • 20th Century and onwards;
  • Stems from early Blues and Jazz music;
  • Based on elements of Western music theory and tradition.
  • Examples: Rock, Pop, Metal, EDM, Hip-Hop, Funk.

Introduction

“Assisting Western Popular Music Guitar Practice and Tablature Composition with Machine Learning”

  • 20th Century and onwards;
  • Stems from early Blues and Jazz music;
  • Based on elements of Western music theory and tradition.
  • Examples: Rock, Pop, Metal, EDM, Hip-Hop, Funk.

TODO

Guitar image by obBilder from Pixabay

Introduction

Tablature Notation


G.O.A.T., Polyphia.
TODO TODO TODO TODO TODO TODO TODO

Datasets

TODO
    mysongbook.com
  • Proprietary;
  • Professional Transcriptions;
  • 2115 .gp files;
  • 308 different artists.
TODO
  • Open for Research;
  • Amateur Transcriptions;
  • 26 181 .gp5 and tokenised files;
  • 882 different artists.
TODO TODO TODO

Assist Composition

Guitar Chord Diagrams

TODO
  • Diagrams allow to disambiguate between chord positions;
  • Using the previous position as context allows to suggest diagrams with:
    • More consistent texture;
    • More playable transitions.






D'Hooge et al. (2024), Guitar Chord Diagram Suggestion for Western Popular Music, SMC.

Assist Composition

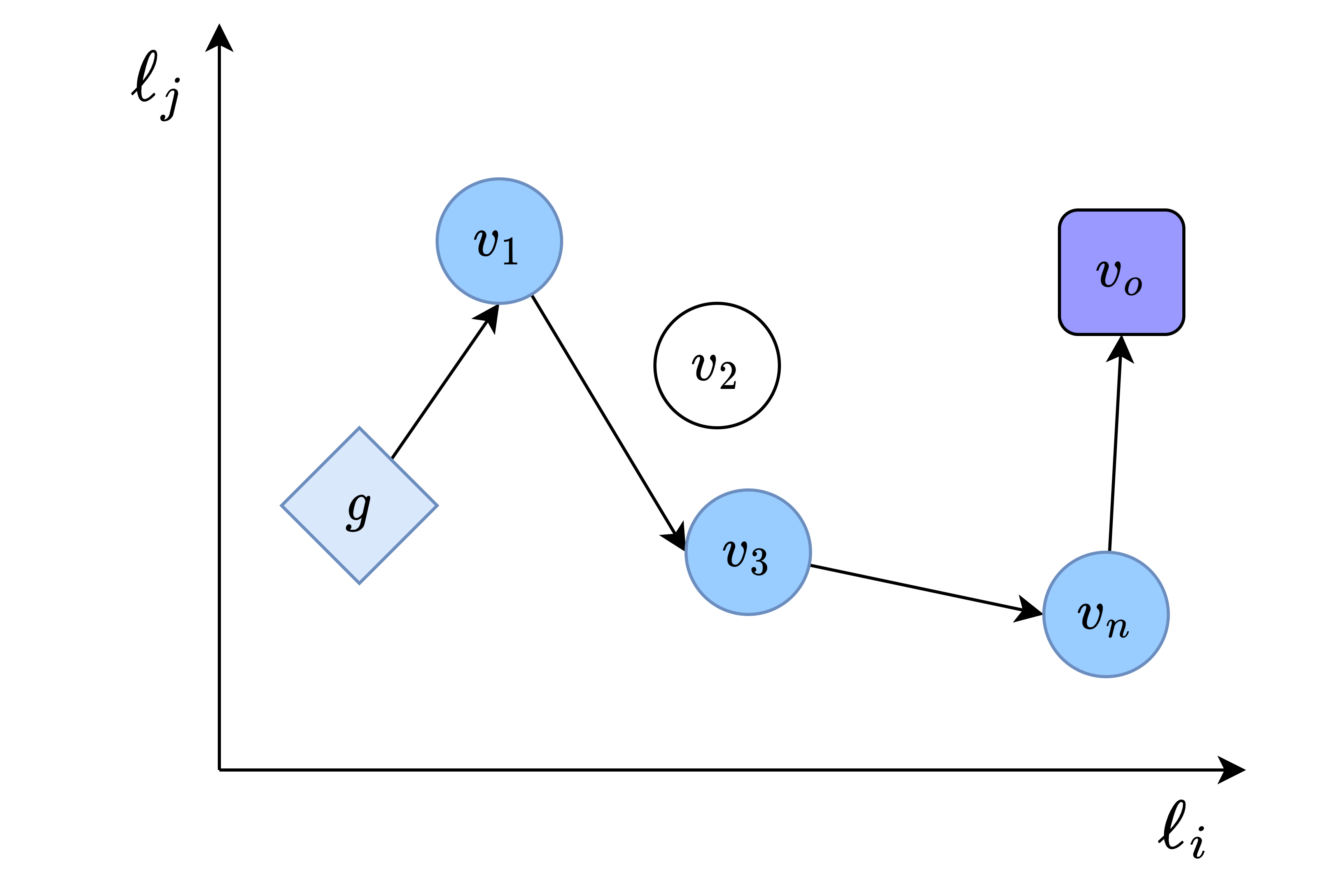
Rhythm Guitar Tablature Continuation Through Picking Pattern Generation

TODO
  • Objective: Suggest possible continuation given a tablature prompt and a chord progression;

  • If any chord position is missing, it can be suggested automatically (D'Hooge et al. 2024).
TODO
House of the Rising Sun, The Animals.
TODO

House of the Rising Sun, The Animals.
  • Accompaniment parts in WPM are often repetitive;
  • Composers/Transcribers rely heavily on copy-pasting;
  • Suggesting continuations can ease the writing process and propose variations;
  • Previous work lack chord progression controls (except McVicar et al. 2014).
Bacot et al. (2024), Enjeux du logiciel de tablatures dans l'acte de création en musiques actuelles : méthode d'entretien et analyse d'une pratique, JIM. McVicar et al. (2014), AutoRhythmGuitar: Computer-aided composition for Rhythm Guitar in the Tab Space, ICMC. Chen et al. (2020), Automatic Composition of Guitar Tabs by Transformers and Groove Modeling, ISMIR. Loth et al. (2023), ProgGP: From GuitarPro Tablature Neural Generation To Progressive Metal Production, CMMR. Sarmento et al. (2023), GTR-CTRL: Instrument and Genre Conditioning for Guitar-Focused Music Generation with Transformers, EvoMUSART.



TODO

Assist Composition

Data Preparation of DadaGP
  1. Identify rhythm guitar tracks (Régnier et al., 2021);
  2. Extract 4-bar sequences with less than 75% rest time;
  3. Convert to tokens.


Rule-Based Model
TODO TODO TODO TODO
Transformer Model
TODO TODO
Quantitative Evaluation
  • Edit Distance: Transformer outperforms rule-based model significantly;
  • Texture Manhattan Distance the controls effectively drive the transformer model to change texture;
  • Out-of-Diagram notes:
    • Impossible for the rule-based model by design;
    • 4% OoD notes ratio observed in the dataset;
    • At least 8% of OoD notes in what the transformer generates, even with a dedicated loss function.
Online Survey for Subjective Evaluation
54 participants: 41 M, 3 F, 10 na; 46±16 years old.

  • Rate 5 prompts' continuations from:
    • Reference
    • Rule-based
    • Transformer
  • 7-point Likert scales on:
    • Playability
    • Consistency
    • Interest
    • Usability
TODO
TODO
  • All continuations rated rather positively, with the reference preferred over both models;
  • Preference for the rule-based model over the transformer despite being less controllable;
  • Prolonged use of the transformer model might be more appropriate for its evaluation.

Assist Composition

Bass Tablature Accompaniment Generation

Generated samples
Olivier Anoufa     Olivier Anoufa
  • Generate a bass guitar tablature conditioned on a rhythm guitar tablature.
  • A thematic analysis of the results suggest that:
    • The transformer model generates consistent musical content;
    • The bass lines feature idiomatic playing techniques;
    • The bass can sometimes be late/early when following the harmony.
  • The model is large and needs a few seconds to generate a bass track on GPU.
Anoufa et al. (2025), Conditional Generation of Bass Guitar Tablature for Guitar Accompaniment in Western Popular Music, AIMC. Makris et al. (2022), Conditional Drums Generation Using Compound Word Representations, EvoMUSART.

Assist Composition

Suggest Bends and Playing Techniques to Lead Guitarists

Bend photo from musicradar.com.

Bend photo from musicradar.com.

Bend photo from musicradar.com.
Suggest bends to add expressiveness and increase idiomaticity.

Nocturne Op.9 No.2, Frédéric Chopin (transposed to E Major).
  • Feature-based Approach
    • Rhythm
    • Pitch
    • Gesture
  • Evaluate a note based on its neighbourhood
TODO
Four most important features:
  • Pitch of current note;
  • Pitch distance to next note;
  • Pitch distance to previous note;
  • Current note's duration.

Nocturne Op.9 No.2, Frédéric Chopin (transposed to E Major), arranged by K I L L J E S T E R
Possible to extend to other techniques. Statistics used by Bontempi et al. (2024) to add expressiveness to melodies.
TODO
Bontempi et al. (2024), From MIDI to Rich Tablatures: an Automatic Generative System incorporating Lead Guitarists' Fingering and Stylistic choices, SMC.

Assist Learning and Practice

There are a lot of online resources available to guitarists.
There are a lot of online resources available to guitarists:
  • Tab Websites
    • UltimateGuitar;
    • Songsterr;
    • 911tabs...
There are a lot of online resources available to guitarists:
  • Tab Websites
    • UltimateGuitar;
    • Songsterr;
    • 911tabs...
  • Online Courses
    • YouTube channels
    • justinGuitar
    • Synner
    • Fender Play...
There are a lot of online resources available to guitarists:
  • Tab Websites
    • UltimateGuitar;
    • Songsterr;
    • 911tabs...
  • Online Courses
    • YouTube channels
    • justinGuitar
    • Synner
    • Fender Play...
  • Apps
    • Yousician
    • Simply Guitar
    • Rocksmith+
There are a lot of online resources available to guitarists:
  • Tab Websites
  • Online Courses
  • Apps
Existing research focused on:
  • Gathering resources for learning a song or chords;
  • Assist beginners in learning new songs;
  • Analyse the difficulty of songs based on their chords.
The learner's level is rarely modelled, except in Müllerschön et al. (2025).
Barthet et al. (2011), Music Recommendation for Music Learning: Hottabs, a Multimedia Guitar Tutor, WOMRAD. Xambó et al. (2018), Jam with Jamendo: Querying a Large Music Collection by Chords from a Learner's Perspective, Audio Mostly. Ariga et al. (2017), Strummer: An Interactive Guitar Chord Practice System, ICME. Vélez Vasquéz et al. (2023), Quantifying the Ease of Playing Song Chords on the Guitar, ISMIR. Müllerschön et al. (2025), Playability Prediction in Digital Guitar Learning using Interpretable Student and Song Representations, ISMIR.

Assist Learning and Practice

Difficulty-informed Song Recommendations


New dataset of over 200 difficulty-rated WPM rhythm guitar songs.
TODO
  • Yohann Abbou
    Yohann Abbou
  • Mathieu Giraud
    Mathieu Giraud
  • Gilles Guillemain
    Gilles Guillemain
  • Aurélien Jeanneau
    Aurélien Jeanneau
  • Zakaria Hassein-Bey
TODO

Assist Learning and Practice

Interpretable Tablature Difficulty Analysis

New dataset of approx. 1000 difficulty-rated tablatures.
Songs to practice weekly for rhythm, lead or bass guitar. Difficulty ratings are numerical and categorical:
  • 1-3: Beginner;
  • 4-5: Intermediate;
  • 6-7: Advanced;
  • 8-9: Master;
  • 10: Expert.
TODO
  • Vsevolod Eremenko
    Vsevolod Eremenko
  • Pedro Ramoneda
    Pedro Ramoneda

Radio Song, Superbus. Rhythm Guitar - B


Beggin', Måneskin. Bass Guitar - I

Ijime, Dame, Zettai, BABYMETAL. Lead Guitar - M

Feature Engineering approach, based on the curricula of music diplomas and past research on piano and guitar difficulty.

    Feature Groups:
  • Speed;
  • Stamina;
  • Structure/Repetition;
  • Technique;
  • Rhythm;
  • Pitch/Fretboard Position.
TODO

      Lead Guitar

TODO

      Bass Guitar

Chiu et al. (2012), A Study on Difficulty Level Recognition of Piano Sheet Music, Int. Symposium on Multimedia. Vélez Vásquez et al. (2023), Quantifying the Ease of Playing Song Chords on the Guitar, ISMIR.

Perspectives

Deploy and improve performance of the models.

Demonstration interface made by Léo Dupouey.
Focus on human-centered approaches
Jan Zehrfeld, Panzerballett.
Use tablatures in more research tasks.
  • Overpainting;
  • Exercises Generation;
  • Automatic Difficulty-Controlled Arrangements;
  • ...
Towards multimodality

 

Support Computational Musicology Research
Quentin Guilluy
📷 metalbreeding
Analysis of gesture in Brutal Death Metal

References

PDF Manuscrit embeddé pour le style